Keywords: ncert solutions class 12 physics, class 12 physics,physics class 12, ncert class 12 physics solutions, ncert physics class 12 solutions, ncert solutions class 12 physics, ncert class 12 physics solutions, physics class 12,class 12 physics, ncert physics class 12 solutions
NCERT Solutions for Class 12 Physics Chapter 11 Dual Nature of Radiation and Matter Recently updated for 2023-2024 .
NCERT Solutions for Class 12 Physics Chapter 11 Dual Nature of Radiation and Matter
The latest update on School Notes Wallah now offers updated NCERT Solutions for Class 12
Physics, which include a downloadable PDF of solutions for all chapters. These
solutions provide comprehensive answers to questions found in the Physics Part
1 and Physics Part 2 books, covering all exercises. Utilizing this Physics
solutions guide in conjunction with Physics notes can assist in completing the
class 12 syllabus and achieving full marks in exams.
NCERT
Solutions for Class 12 Physics
The NCERT Solutions for Class 12 Physics refer to a
comprehensive set of answers to the questions posed in the exercises of all
chapters of the NCERT Book for Class 12 Physics. These solutions are organized
by chapter and cover both Physics Part 1 and Physics Part 2 textbooks.
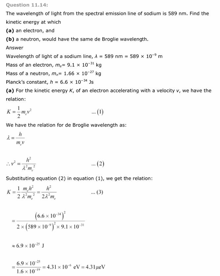
Chapter 11 Dual Nature of Radiation and Matter NCERT Solution Class 12
Dual Nature of Radiation and Matter:
- Photoelectric effect and Einstein's photoelectric equation
- Dual nature of electromagnetic radiation and matter
- Davisson-Germer experiment and electron diffraction
- Wave-particle duality and de Broglie wavelength
How To Access FREE Notes :
1) CLICK ON GOOGLE AND WRITE - WWW.SCHOOLNOTESWALLAH.COM
2)CLICK on SCHOOL NOTES WALLAH.
3)SCROLL DOWN AND SEARCH YOUR NOTES
4)FREELY DOWNLOAD ANY NOTES IN HANDWRITTEN FORMS.
THESE 4 STEP CHANGE YOUR STUDY LIFE..

No comments:
Post a Comment