NCERT Solutions for Class 12 Maths Chapter 7  Integrals EXERCISE 7.11 



Chapter 7 Integrals EXERCISE 7.11

class 12 SOLUTION And HANDWRITTEN NOTES FOR FREE




NCERT Solutions for Class 12 CBSE Maths – 

Chapter 7 Integrals EXERCISE 7.11

class 12 SOLUTION And HANDWRITTEN NOTES FOR FREE


NCERT Solutions for Class 12 CBSE Maths – 
Chapter 6 Class 12 Application of Derivatives : On School Notes Wallah you get full notes of mathematics , NCERT full solution , CBSE class 12 maths Solution , Handwritten notes for free all subject like maths , physics , chemistry and also shorts notes for class 12 NCERT solution for class 12 CBSE maths , physics , chemistry .

Chapter 7 Integrals EXERCISE 7.11



NCERT Solutions for Class 12 CBSE Maths – Chapter 7 Complete Questions solution of Maths chapter 7
NCERT Notes are also available on school notes wallah .

All Exercise NCERT Solutions for Class 12 Maths..

-)  NCERT Solutions for Class 12 Maths 
-)  NCERT Solutions for Class 12 Maths 
-)  NCERT Solutions for Class 12 Maths 
-)  NCERT Solutions for Class 12 Maths 
-)  NCERT Solutions for Class 12 Maths 
-)  NCERT Solutions for Class 12 Maths 
-)  NCERT Solutions for Class 12 Maths 
-)  NCERT Solutions for Class 12 Maths 
-)  NCERT Solutions for Class 12 Maths 
 -)  NCERT Solutions for Class 12 Maths 
-)  NCERT Solutions for Class 12 Maths 

 How To Access FREE Notes :

1) CLICK ON GOOGLE AND WRITE - WWW.SCHOOLNOTESWALLAH.COM



2)CLICK on SCHOOL NOTES WALLAH.



3)SCROLL DOWN AND SEARCH YOUR NOTES 



4)FREELY DOWNLOAD ANY NOTES IN HANDWRITTEN FORMS.



THESE 4 STEP CHANGE YOUR STUDY LIFE.. 








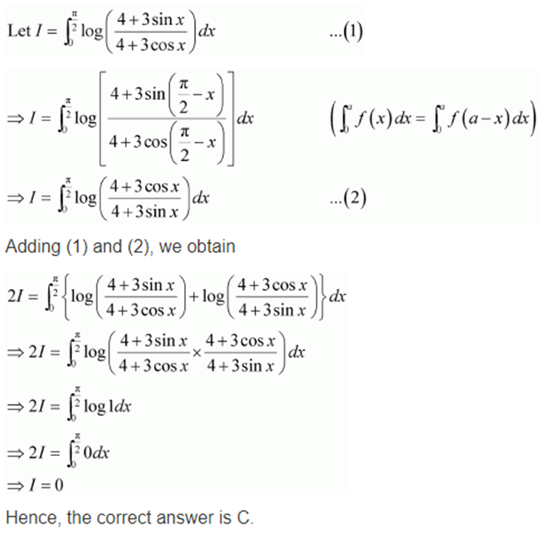
EXERCISE 7.11

















































































































































































 




















  

 NCERT Solutions for Class 12 Maths Chapter 7  Integrals EXERCISE 7.11 

our tags:
ncert solutions for class 12 maths chapter 7 integrals
ncert solutions for class 12 chapter 7 maths
ncert solutions for class 12 maths chapter 7 
maths ncert solutions class 12 chapter 7 exercise 7.5
maths ncert solutions class 12 chapter 7 exercise 7.3
chapter 7 integrals class 12 solutions
ncert solutions for class 12 maths chapter 7 pdf download
ncert solutions for class 12 maths chapter 7 examples
ncert solutions for class 12 maths chapter 7 exercise 7.3
ncert solutions for class 12 maths chapter 7 exercise 7.1
ncert solutions for class 12 maths chapter 7 exercise 7.5
ncert-solutions-class-12-maths-chapter-7-integrals
ncert solutions for class 12 maths chapter integrals
ncert solutions for class 12 maths integrals exercise 7.1
integration ncert solutions 7.5
integration ncert solutions class 12
integral chapter 7 class 12 ncert solutions
maths ncert solutions class 12 integrals miscellaneous
ncert solutions for class 12 maths chapter 7
ncert solutions for class 12 maths chapter 7 .11
ncert solutions for class 12 maths chapter application of integrals
maths ncert solutions class 12 chapter 7 exercise 7.4
solutions for class 12 maths chapter 7
solutions of ch 7 maths class 12
ncert solutions for class 12 maths chapter 7 up board
chapter 7 integrals class 12 teachoo
maths ncert solutions class 12 chapter 7
ncert solutions for class 12 maths chapter 7 exercise 7.4
ncert solutions for class 12 maths chapter 5 exercise 5.7
maths ncert solutions class 12 chapter 7 exercise 7.6
ncert solutions for class 12 maths chapter 8 exercise 8.1
ncert solutions for class 12 maths chapter 8 exercise 8.2
ncert solutions for class 12 maths chapter 7 exercise 7.9